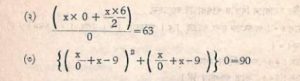
উপযুক্ত শ্লোকে এবং অন্যত্র এ বিষয়ে যা কিছু আলোচনা করেছেন তা থেকে স্পষ্টই বোঝা যায় তিনি নিম্নলিখিত বিষয়বস্তু নিয়ে আলোচনা করেছিলেন।
দ্বিতীয় ভাস্করাচার্য শূন্য এবং এ নিয়ে যা আলোচনা করেছেন তা থেকে স্পষ্টই বোঝা যায় তিনি ৫/০ বলেছেন। অবশ্য ব্রহ্মগুপ্তও এ কথাই বলেছেন সে কথা আগেই উল্লেখ করেছি। কিন্তু মহাবীর এ সম্পর্কে যা বলেছেন তা অশুদ্ধ। তিনি বলেছেন
“তাড়িতঃ খেন রাশিঃ খং সোহবিকারী হতো সুতোঃ।
হীনোহপি খবধাদিঃ খং যোগে থং যোজ্যরূপকম্।”
অর্থাৎ কোন সংখ্যাকে শূন্য দিয়ে গুণ করলে শূন্য হবে এবং ঐ সংখ্যাকে শূন্য দিয়ে ভাগ দিলে রাশিটি অপরিবর্তিত থাকবে……
দ্বিতীয় ভাস্করাচার্য উপযুক্ত শ্লোকে এবং অন্যত্র এ বিষয়ে যা কিছু আলোচনা করেছেন তা থেকে স্পষ্টই বোঝা যায় তিনি নিম্নলিখিত বিষয়বস্তু নিয়ে আলোচনা করেছিলেন।
![]()

এছাড়াও শূন্য নিয়ে আরও দীর্ঘ আলোচনা দ্বিতীয় ভাস্করাচার্য প্রমুখেরা আলোচনা করেছেন এবং এ সম্পর্কে বহু গবেষণামূলক প্রবন্ধ ডঃ বি. বি. দত্ত লিখেছেন।
(চলবে)
প্রদীপ কুমার মজুমদার 



















